Solving Equations Word Problems Printables – Free worksheet (pdf) and answer key on the solving word problems based on linear equations and real world linear models. Math worksheets take forever to hunt down across the internet. Choose your grade / topic: Solving systems of equations by substitution;
Solving One Step Equations Word Problems Worksheet Worksheet Resume
Solving Equations Word Problems Printables
Mindy and troy combined ate 9 9 pieces of the wedding cake. How many students were in each bus? These word problems worksheets are appropriate for 4th grade, 5th grade, 6th grade, and 7th grade.
We Include Many Mixed Word Problems Or Word Problems With Irrelevant Data So That Students Must Think About The Problem Carefully Rather Than Just Apply A Formulaic Solution.
We start with examples of translating an english sentence or phrase into an algebraic expression. This item contains a riddle worksheet involving with solving one step equations using inverse operations. Word problems are important applications of linear equations.
Solving Linear Equations, Decimals, Rationals.
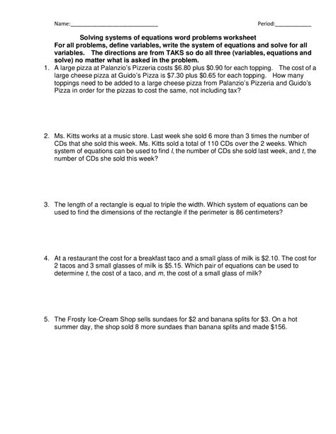
Solving systems of equations by elimination; Solving systems of equations word problems worksheet for all problems, define variables, write the system of equations and solve for all variables. Mindy ate 3 3 pieces of cake and troy had \dfrac14 41 of the total cake.
Liear Equations (1816316) Word Problems In Linear Equations.
Students write out a full equation with the suggested variable representing the unknown, then solve the equation. To solve an algebraic word problem: These word problems worksheets will produce addition, multiplication, subtraction and division problems using clear key phrases to give the student a clue as to which type of operation to use.
Plus Model Problems Explained Step By Step
Your students will write equations to match problems like “kelly is 8 years younger than her sister. Systems of equations word problems; Solving systems of equations by graphing;
If The Variable Is Not The Answer To The Word Problem, Use The Variable To Calculate The Answer.
The directions are from taks so do all three (variables, equations and solve) no matter what is asked in the problem. These worksheets are best suited for students in grade 6 through high school. Students write and solve equations from real world.
Using Both Relatable Situations And Exciting Stories, These Math Word Problems Worksheets Engage Your Students In Math Practice And Show The Value Of Math Skills In Real Life.
Write an equation to determine how many pieces of cake (c) (c) there were in total. The sum of their ages is 44 years. 2) aliyah had $24 to spend on seven pencils.
These Word Problems Involve Variables And Equations.
Khan academy’s 100,000+ free practice questions give instant feedback, don’t need to be graded, and don’t require a printer. Word problems for linear equations. Write an equation using the variable.
Underlying Operations Include Addition, Subtraction, Multiplication And.
Students are to solve 11 word problems, locate the correct answer from the given three choices, and write the letter next to the correct answer on the corresponding blank to solve the riddle. Our word problems worksheets are best attempted after a student is familiar with the underlying skill. Word problems in linear equations.
Scaffolded Questions That Start Relatively Easy And End With Some Real Challenges.
Six buses were filled and 7 students traveled in cars.

Writing & Solving Equations WORD PROBLEMS Sticker Worksheet Word

Solving Equations Word Problems Worksheet —
![]()
Solving quadratic equations word problems worksheet

Solving One Step Equations Word Problems Worksheet Worksheet Resume

Solving One Step Equations Word Problems Powerpoint Diy Projects

Solving Word Problems Involving Linear Equations Math Worksheets

Solving Equations Word Problems Worksheet 30 Systems Linear Equations

Solving Equations INB Pages Word problems, Math word problems, Word

😍 Using equations to solve word problems. Solving word problems using
![]()
⭐ Solving linear equations word problems. Algebra 1 Worksheets. 20190124

Algebra I Help Solving Systems of Linear Equations Word Problems Part

040 Solving Equations Word Problems Worksheets Multi Step —

Worksheet. Systems Of Equations Word Problems Worksheet. Hunterhq Free

Algebra 1 Worksheets Word Problems Worksheets

Solving Systems Of Equations Word Problems Worksheet Key —